" />
摘要:根據實際經驗, 分析了壓力/ 差壓變送器在真空下應用的難點。重點介紹了灌充液對變送器的影響, 說明了溫度和壓力的相互關系。列舉對比了變送器在真空下的性能, 闡述了真空下變送器的選型原則, 給出了法蘭變送器的安裝高度要求。
引 言
壓力/差壓變送器在過程控制中廣泛應用, 但其自身特性決定了每種變送器都有一定的局限性,雖然傳感器原理不一, 但都有膜盒或膜片作為過程隔離部件, 隔離部件內灌液以傳遞壓力。傳感器導壓灌充液的物化性質以及接液部分的材質, 影響了變送器的工作, 決定了變送器的應用受工藝過程條件(壓力和溫度)的影響。真空下, 過程隔離膜盒的受力, 灌充液的壓力傳遞都不同于正壓, 法蘭(遠傳隔膜密封式)變送器受過程條件的影響更大【1:參考文章見本頁面底部】 。此時, 儀表的選型和合理安裝變得非常重要, 結合現場經驗, 該文闡述了真空下壓力/差壓變送器應用的一般規律。
1 優先選取絕對壓力變送器
測量真空可以使用絕對壓力變送器和表壓力變送器(又稱負壓表), 兩者從本質上都是差壓變送器, 前者以絕對真空為基準, 與大氣壓力無關, 后者以大氣壓為基準, 受大氣壓變化的影響。工藝過程測量, 特別是高真空, 小量程應用時, 為消除測量受大氣壓力變化的影響, 避免混淆和測量誤差, 應優先選擇絕對壓力變送器。
中國石油吐哈油田公司石油天然氣化工廠真空解析工段, 產品順酐在高真空下加熱析出, 極限真空(絕對壓力)約18 mmHg (1 mmHg ≈133 .3 Pa)。系統內壓力測量采用了16 臺絕壓表,其中1 臺絕壓表故障, 臨時采用了一臺負壓表來應急。本地海拔750 m , 年平均大氣壓730mmHg , 故儀表測量范圍設置為-730 ~ 0 mmHg , 遠傳DCS監控界面(絕對壓力)則是0 ~ 730 mmHg 。投用后, 發現測量誤差在0 ~ 20 mmHg 之間。經分析確認測量誤差源于參考壓力(大氣壓)變化:系統內真空度恒定時, 大氣壓力升高, DCS 示值降低,反之, 示值升高。于是, 根據本地大氣壓的變化, 頻頻更改儀表的下限和量程。顯然, 絕對壓力表不存在此問題。由于負壓表的參考點往往受氣象條件的變化而改變, 故真空測量時, 盡量選取絕對壓力變送器。
2 真空下變送器的選型
儀表選型時, 除了注意儀表工藝過程接液部分材質的過程兼容性外, 還要注意儀表適用的壓力和溫度是相互關聯, 不是彼此獨立的。理想情況下,隔離膜片沒有剛度和彈力, 在傳遞過程壓力時沒有任何壓力損失, 但苛刻的工況又要保證膜片有一定強度, 這要求變送器在適應工況和保證測量精度之間性能均衡。高壓應用時, 同一變送器壓力增高適用的溫度逐漸降低, 這是因為溫度對隔離膜片強度、灌充液的膨脹率等因素的影響, 以下著重討論真空下的應用。
2.1 高溫高真空應用的難點
真空應用時, 溫度升高, 變送器適用的最低壓力也會有所提升, 高溫下的高度真空, 是最苛刻的應用條件, 因為 :高度真空時, 灌充液的沸點大大降低, 工藝溫度超過填充油在該壓力的沸點時,灌充液除膨脹外, 還會部分氣化, 氣化壓力會施加給膜片, 同時也施加給變送器傳感元件;膜片密封系統在灌液前, 系統內很難抽到絕對真空, 灌充液也很難完全排除溶解氣體和其他揮發性氣體;高真空時, 外界空氣漏入膜片密封系統風險增加。
膜片密封系統內可能存在的氣體, 在高溫高真空下膨脹系數倍增(可參考理想氣體狀態方程), 氣壓施加在膜片上會使膜片外鼓甚至破裂, 給儀表帶來永久性損害。過程溫度過高時, 一般采用法蘭變送器, 其壓力傳遞裝置結構更復雜, 遠傳隔膜密封系統灌充液遠遠多于普通變送器, 受影響的程度更大, 故知名變送器生產廠商, 如羅斯蒙特, ABB , 富士等公司都針對變送器在高溫高真空工況下的應用做了特殊優化處理 。
2.2 灌充液的選取
工藝過程條件下, 灌充液本身會氣化, 使變送器不能正常工作, 具體到某一溫度某一壓力下的應用, 可查閱該灌充液該溫度時的飽和蒸汽壓。值得注意的是, 灌充液不氣化只是變送器適用的前提,不是必然條件。圖1 給出了三種常用灌充液的飽和蒸汽壓(絕壓)曲線。

高溫工況應選擇高溫灌充液, 其中最廣泛應用的高溫灌充液是道康寧公司開發的擴散泵硅油DC704 和DC705 , 其為無色透明液體, 具有卓越的耐熱性、耐氧化性, 常溫下很低的蒸氣壓, 凝固點低, 低溫下黏度變化小, 無味、無毒、無腐蝕及化學特性穩定等特點。DC704 硅油極限真空壓力小于1 .33 ×10-5 Pa , 飽和蒸汽壓(25 ℃)小于6 .65 ×10-6 Pa ;DC705 凝固點溫度小于-14 ℃, 閃點溫
度大于243 ℃, 極限真空壓力小于6 .65 ×10-7 Pa ,飽和蒸汽壓(25 ℃)小于6 .65 ×10-8 Pa 。
選取高溫硅油后要注意其黏度大于普通硅油,低溫時可能會凝固, 變送器應用的最低溫度高于普通硅油, 要求視具體儀表而定。如采用DC704 的Ro semount 1199 隔膜密封系統常壓下的適用溫度是0 ~ 315 ℃, DC705 則是20 ~ 350 ℃, 環境溫度過低時應考慮伴熱增溫措施(低溫下應用一般不會損壞儀表, 但會影響測量)。
2.3 儀表應用范圍的給定
儀表應用范圍給出的一般方式是工作壓力與溫度關系圖, 臨界線類似于灌充液飽和蒸氣壓曲線, 曲線上方為儀表可使用范圍, 根據工藝過程條件的溫度和壓力, 看圖可知儀表選型是否合適, 典型的廠家有霍尼韋爾、富士、橫河、山武。另外一些廠家給出了代表應用的極限條件, 即儀表適用最小壓力時的最高溫度, 如羅斯蒙特, ABB , 西門子和福克斯波羅。
普通絕對壓力變送器表體溫度受環境溫度和過程溫度的綜合影響, 選型時要綜合考慮現場工況, 一般用于溫度不高的場所, 高溫時應選用法蘭變送器。圖2 給出了霍尼韋爾S T3000/900 系列普通型絕對壓力變送器的測量壓力與表體溫度關系, 從圖中可以看出, 溫度越高, 極限壓力越高, 高溫硅油不宜低溫。對于該系列儀表, 只有采用DC704 硅油, 表體溫度介于0 ~ 42 ℃之間, 測量最低絕壓可達1 mmHg ;采用DC200 硅油或氟油時,表體溫度小于0 時, 可測最低壓力(絕壓)25 mmHg , 高于0 時, 極限壓力隨溫度升高遞增。選型時一定要注意這些, 否則不能保證測量精度,甚至損壞儀表。

由于制造工藝、變送器原理的不同, 各世界知名廠商的產品在真空下表現各不相同, 表1 ~ 2 給出了常用普通絕壓變送器和法蘭變送器在真空下的性能。

注:*———3051 CA/ TA 型變送器最小量程為15 .5 mm Hg ;3051SLKA/ T A 型變送器最小量程為8 .625 mm Hg ;
Yokogaw a EJA310A 型變送器最小量程為5 .0m mHg ;Yokogaw a E JA 510A型變送器最小量程為75 mm Hg 。

注:**———儀表適用的極限條件溫度和壓力密不可分, 相互依存。
該廠溶劑吸收裝置投用初期, 真空解析工段雙法蘭液位變送器集體工作失常。具體現象:液位測量值受工藝過程溫度壓力變化影響很大(差壓式液位計其測量值應與容器內靜壓力無關)、零點量程漂移嚴重, 屢次換表測量效果均不如人意。
通過對這些雙法蘭差壓液位計的應用過程條件認真分析, 發現主要問題是儀表選型不合理:遠傳隔膜密封系統選型錯誤, 問題主要出在遠傳密封系統灌充液上。這些儀表均工作在真空工況下, 此時導壓系統的灌充液(一般為硅油)氣化溫度遠遠低于常壓或高壓的溫度, 而隔膜導壓密封系統只有填充液為液態時才能正常傳遞壓力, 灌充液氣化后的飽和蒸汽壓會在一定程度上置換被測壓力。原使用儀表隔膜密封系統灌充液為硅油DC200 , 該廠極限真空條件在閃蒸罐, 壓力約18mmHg (A),溫度約198°C 。在此工況下, 毛細管內特別是接液隔膜下的硅油會汽化, 一旦汽化就不能正常傳遞壓力, 空氣也容易滲入隔膜密封系統, 從而導致儀表工作失常, 甚至膜片外鼓, 給儀表帶來永久性損壞。最終更改選型, 采用高溫硅油DC704的全焊式真空隔膜密封系統的雙法蘭差壓變送器,解決了液位測量問題。
3 真空下壓力變送器的安裝
普通絕對壓力變送器的真空下安裝與正壓應用沒有區別, 只是測量真空用的壓力變送器的過壓能力一般較低。值得關注的是法蘭變送器的安裝,雙法蘭變送器無論本體安裝在兩安裝法蘭之上、之下或中間, 對變送器的量程、零點遷移量沒有影響 , 單法蘭變送器的安裝法蘭與變送器安裝的高度之間的關系僅影響表的零點遷移量, 不影響變送器的量程。
3.1 法蘭變送器的安裝原則
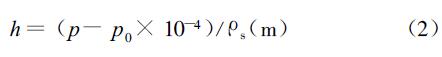
法蘭變送器的安裝有一個很重要的原則:嚴禁毛細管內灌充液的自重落在隔膜上。變送器安裝位置應盡可能低一些(特別是真空時)。橫河公司給出了EJA118/438 變送器安裝極限高度公式, 此公式適用于所有法蘭變送器, 具有普遍意義。

式中 h ———遠傳法蘭隔膜密封安裝部距變送器本體的高度, mm , h ≤0 時, 應將變送器本體安裝在法蘭隔膜安裝部下方較h 更低位置, h >0 時, 應將變送器本體安裝在法蘭隔膜安裝部上方較h 更低位置;p ———液罐內過程壓強(絕壓), Pa ;p0 ———變送器安裝使用壓力下限值(注意該參數與過程極限壓力不同, 僅與安裝相關), Pa , p0 由變送器的接液膜盒材質、大小、厚度、形狀等因素決定;ρs ———灌充液密度, g/cm3 ;ρHg ———水銀的密度, g/cm3
(25 ℃時)。將上述各高度單位改為m , 壓力單位改為mH2 O &4 ℃(1 mmHg =13 .596 mmH2 O), 公式可簡化如下
故可測算, 完全真空時(假設儀表能測量完全真空), 變送器一定要安裝在距高壓側過程法蘭p0 ×10-4/ρs m 高度以下, 高溫硅油約1 .09 g/cm3 ,變送器安裝位置要低于高壓側膜盒0 .3 ~ 1 .2 m ,過程壓力升高, 變送器允許安裝位置可以逐漸增高, 1 大氣壓時, 變送器安裝位置比完全真空時可提高9 .3 m 左右。
3.2 安裝不當的典型案例及處理措施
該廠精制工段, 精制塔冷凝器液相出料管線,物料為順丁烯二酸酐(即馬來酸酐MaleicAnhy dride , 簡稱順酐), 過程溫度約66 ℃, 極限真空為150 mmHg 。管內液位采用雙法蘭變送器Yokogaw a EJA118W 測量, 法蘭毛細管長度兩側各8 m , 測量高度12 m , 變送器安裝在兩過程法蘭間, 距下法蘭約6 .0 m 。這樣設計顯然是錯誤的,據式(2)計算, 變送器安裝位置要在過程下法蘭口上方約1 .5 m 或更低位置。
故障現象如下:空管(管內無順酐)時抽真空,系統內壓力從常壓降至150 mmHg , 液位示值從0上升至3 .5 m , 示值增長速率基本呈線性。這是因為抽空全程, 變送器低壓側壓力遞減;而變送器高壓側抽空到一定壓力時(約6 mH2 O &4 ℃), 毛細管內灌充液自重落在膜盒上, 壓力不再降低, 甚至達到絕對真空;破空時, 現象反之。正常操作時, 液位測量從3 .5 m 開始, 低液位無法測量, 液位控制在較高位, 測量值仍可參考。但經過一段時間的使用, 表的P V 值大幅跳動, 趨勢記錄呈鋸齒形, 拆除
表檢查, 發現高壓側膜盒局部有細小裂紋, 外漏硅油, 但沒有外鼓。
儀表設計不當是測量失準、儀表損壞的原因。合適的方案是選取更長的毛細管, 或者選取兩臺壓力變送器計算差壓值, 并把儀表本體安裝在過程法蘭以下。
4 結束語
由于變松器自身工作原理的限制, 真空下壓力/差壓變送器的制造、選型與應用是一個難題, 選型安裝不當會影響測量精度, 甚至損壞儀表, 該文結合實踐經驗, 介紹了真空下變送器選用和安裝的一般規律, 值得參考。
參考文章:隔膜密封壓力變送器設計選型中應注意的事項;
注明,仕樂克儀表文章均為原創,轉載請標明本文地址